科里奥利质量流量计的概述及工作原理
点击次数:3864 发布时间:2016-06-06 00:47:20
1、科里奥利质量流量计的概述
科里奥利质量流量计,简称科氏流量计或CMF。科氏流量计是利用流体在振动管中流动时产生的科里奥利力,而科里奥利力又与质量流量成正比这个原理来实现对质量流量测量的仪表。
科氏流量计以可直接测量管道内流体的质量流量,计量精确度高,工作性能稳定可靠,适用的流体介质面宽,而被广泛用于石油、化工、冶金、制药、造纸、食品和能源等行业工艺过程的检测控制以及贸易计量结算等场合。
2、科里奥利质量流量计的工作原理
科里奥利(Coriolis)是法国物理学家。经过科里奥利的研究发现:当一个质点相对于惯性系做直线运动时,相对于旋转体系,其轨迹是一条曲线。立足于旋转体系,他认为有一个力驱使质点运动轨迹形成曲线,这个力就是科里奥利力。
科里奥利力广泛用于气象、水力、海洋研究、人类工程学、导弹军事等不同的领域,当然还包括质量流量的测量。
人们利用科里奥利力的原理设计了用于对质量流量进行测量的仪表。
科氏质量流量计是利用当被测量的流体通过一个振动中的测量管,流体在管道中的流动相当于直线运动,测量管受振动时会产生一个角速度,由于振动是受到外加电磁场驱动的,有着固定的频率,因而流体在管道中产生的科里奥利力仅与其质量和运动速度有关,而质量和流速的乘积就是需要测量的质量流量,因而通过测量流体在管道中受到的科里奥利力,便可以测量其质量流量。
如图8-3所示,当一质*为δm的质点,在以匀速μ围绕旋转轴P,以角速度ω旋转并延轴向运动,这个质点将获得两个加速度。

图中:αr----法向加速度;
αt----切向加速度;又称科里奥利加速度。
为了使质点具有科里奥利加速度αt,就需要在αt方向施加一大小等于2ωμδm,方向相反的力Fc,这个Fc称之为科里奥利力,其大小等于:
Fc=2ωμδm
从图8-3可以看到,当密度为ρ的流体以恒定流速μ旋转流动时,任一段长度△X的管道将受到一个大小的△Fc的切向科里奥利力,其大小等于:
△Fc=2ωμδA△X
式中,A为管道的横截面积。
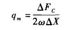
由于质量流量qm=δμA,将式(8-2)代入该式则可得:

式中qm----质量流量;
△Fc----科里奥利力;
ω----流体旋转角速度;
△X----单位长度。
从式(8-3)中可以知道,当ω,△X为常数时,质量流量与单位长度上受到的科里奥利力△Fc成正比。只要能直接或间接地测量出△Fc,就能测得流经管道的质量流量。
但是,在实际测量中,要使流体流经管道时围绕以P轴以角速度ω旋转显然是不切实际,但经过几年的实践和探索,人们发现使管道以P轴为轴心产生一定频率的上下振动,也能使管道内壁产生相应的科里奥利力.这种管道又称为振动管。
下一篇:热式质量流量计的特点与结构原理


