相关产品推荐更多 >>
涡街气体流量计量程范围
点击次数:3232 发布时间:2021-03-19 08:10:21
仪表口径的确定
仪表选型是仪表应用中非常重用的工作,仪表选型的正确与否将直接影响到仪表是否能够正常运行.因此用户和设计单位在选用本公司产品时,请仔细阅读本节资料,认真核对流体的工艺参数并**可与我公司的销售或技术支持部门联系,以确保选型正确。
一.适用流量范围和仪表口径的确定
仪表口径的选择,根据流量范围来确定。不同口径涡街流量仪表的测量范围是不一样的。即使同一口径流量表,用于不同介质时,它的测量范围也是不一样的。实际可测的流量范围需要通过计算确定。
(一)参比条件下空气及水的流量范围,见表(二),参比条件如下:
1.气体:常温常压空气,t=20℃,P=0.1MPa(绝压),ρ =1.205 kg/m3,υ =15×10-6 m2/s。
2.液体:常温水 , t=20℃ , ρ =998.2kg/m3 , υ =1.006×10-6m2/s。
(二)确定流量范围和仪表口径的基本步骤:
1.明确以下工作参数。
(1)被测介质的名称、组份
(2)工作状态的*小、常用、*大流量
(3)介质的*低、常用、*高压力和温度
(4)工作状态下介质的粘度
2.涡街流量仪表测量的是介质的工作状态体积流量,因此应先根据工艺参数求出介质的工作状态体积流量,相关公式如下:
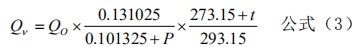
(1)已知气体标准状态体积流量,可通过以下公式求出工况体积流量

(2)已知气体标准状态密度ρ ,可通过以下公式求出工况密度

(3)已知质量流量 Qm换算为体积流量 Qv

式中:
Qv:介质在工况状态下的体积流量(m3/h)(Qv=3600f/K K:仪表系数 )
Qo:介质在标准状态下的体积流量(Nm3/h)
Qm:质量流量 (t/h)
ρ:介质在工况状态下的密度(kg/m3)
ρ o:介质在标准状态下的密度(kg/m3),常用气体介质的标准状态密度,见表(三)
P:工况状态表压(MPa)
t:工况状态温度(℃)
3.仪表下限流量的确定。涡街流量仪表的上限适用流量一般可不计算,涡街流量仪表口径的选择主要是对流量下限的计算。下限流量的计算应该满足两个条件:*小雷诺数不应低于界限雷诺数(Re=2×104);对于应力式涡街流量仪表在下限流量时产生的旋涡强度应大于传感器旋涡强度的允许值(旋涡强度与升力ρ v2成比例关系)。这些条件可表示如下:
由密度决定的工况可测下限流量:

由运动粘度决定的线性下限流量:

式中:
Qρ:满足旋涡强度要求的*小体积流量(m3/h)
ρ 0:参比条件下介质的密度
Qυ:满足*小雷诺数要求的*小线性体积流量(m3/h)
ρ:被测介质工况密度(kg/m3)
Q0:参比条件下仪表的*小体积流量(m3/h)
υ:工作状态下介质的运动粘度(m2/s)
υ o:参比条件下介质的运动粘度(m2/s)
通过公式(6)、(7)计算出 Qρ 和 Qν 。比较 Qρ 和 Qν ,确定流量仪表可测下限流量和线性下限流量:Qυ ≥Qρ :可测流量范围为 Qρ ~Qmax , 线性流量范围为 Qυ ~Qmax
Qυ
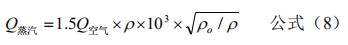
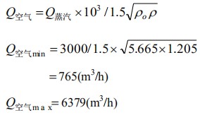
Qmax:涡街流量仪表的上限体积流量(m3/h)4.仪表上限流量以表(二)中的上限流量为准.气体的上限流速应该小于 70m/s,液体的上限流速应该小于 7m/s5.当用户测量的介质为蒸汽时,常采用的计量单位是质量流量,即:t/h 或 Kg/h。由于蒸汽(过热蒸汽和饱和蒸汽)在不同温度和压力下的密度是不同的,因此蒸汽流量范围的确定可由公式(8)进行计算得出式中:ρ:蒸汽的密度(kg/m3)ρ0:1.205kg/m3Q 蒸汽:蒸汽质量流量(t/h)6.计算压力损失,检测压力损失对工艺管线是否有影响,公式(单位:Pa):式中:Δ p:压力损失(Pa) Cd:压力损失系数ρ :工况介质密度(kg/m3)V:平均流速(m/s)7.被测介质为液体时,为防止气化和气蚀,应使管道压力符合以下要求:式中:Δ p:压力损失(Pa)p0:工作温度下液体的饱和蒸汽压(Pa 绝压)Po:流体的蒸汽压力 (Pa 绝压)8.涡街流量计不适合测量高粘度液体。当计算出的可测流量下限不满足设计工艺要求时,应该考虑选用其它类型流量计。9.通过计算如果有两种口径都可满足要求,为了提高测量效果、降低造价,应选用口径较小的表。应该注意的是,尽可能使常用量处在流量范围上限的 1/2~2/3(三)选型举例:例一:已知气体压力和温度及标况下的流量时某压缩空气,标况流量范围为QN=1200-12000Nm3/h,压力 P=0.7Mpa(表压),温度 t=30℃。试确定流量计口径。步骤一:计算压缩空气的工况体积流量由公式(3):工况使用下限体积流量为:Qvmin=QN×0.101325×(273.15+t)/293.15/(P +0.1)=1200×0.101325×(273.15+30)/293.15/(0.7 +0.1)=157(m3/h)工况使用流量上限为: Qvmax=1570(m3/h)步骤二:根据使用工况流量范围 157-1570m3/h,查表(二),满足下限流量条件的流量计为 DN80、DN100 和 DN125,考虑到上限流量 1270m3/h及使用效果和经济成本,初选 DN100, DN100流量计的工况流量范围是 100-1700m3/h,接近使用流量范围,初选 DN100 流量计,但应具体核算 DN100 流量计在该工况条件下的可测下限流量。核算 DN100 流量计在该工况条件下的可 测下限流量:由公式(4)及公式(6):即,流量计在该工况条件下的可测下限流量是37.46m3/h,远小于要求的工况下限流量 157m3/h,确定选用 DN100 流量计。例二:已知蒸汽压力和温度及工况流量时测量介质为过热蒸汽,蒸汽温度为 320℃,压力为 1.5MPa(绝压),流量范围为 3t/h~25t/h, 试 确定流量计口径。步骤一:计算蒸汽的等效空气参比条件下的体积流量范围,经查附表(二),该状态下蒸汽的密度为:5.665Kg/m3,由公式(8) :步骤二:根据等效参比流量范围 765-6379m3/h,查 表(二),比较适合该流量范围为 DN200 口径。上一篇:涡街气体流量计怎么安装
下一篇:二甲醚流量计怎么安装
? 2016 金湖凯铭仪表有限公司 版权所有 地址:江苏省金湖县理士大道61号
网址:http://www.zykgp.cn/ 邮编:211600
联系人:黄经理 电话:0517-86801009 手机:13655235852 网站地图 ICP备案号:苏ICP备15042790号-2
金湖凯铭仪表有限公司专业生产销售:电磁流量计,超声波流量计,涡轮流量计,涡街流量计,热式气体质量流量计,磁翻板液位计,超声波液位计,压力(差压)变送器等系列仪表。
主站蜘蛛池模板:
铜山县|
巫山县|
通榆县|
汾阳市|
鄄城县|
乌兰浩特市|
喀喇|
福清市|
黎平县|
武鸣县|
阿城市|
什邡市|
霍州市|
象山县|
商城县|
潮安县|
蓬安县|
南丹县|
新野县|
惠安县|
广饶县|
句容市|
股票|
怀化市|
杭锦后旗|
乌鲁木齐市|
丘北县|
民县|
长岛县|
慈利县|
纳雍县|
吉林市|
宁津县|
荣昌县|
苍梧县|
浮梁县|
汾阳市|
保康县|
景谷|
恩施市|
石屏县|
联系人:黄经理 电话:0517-86801009 手机:13655235852 网站地图 ICP备案号:苏ICP备15042790号-2
金湖凯铭仪表有限公司专业生产销售:电磁流量计,超声波流量计,涡轮流量计,涡街流量计,热式气体质量流量计,磁翻板液位计,超声波液位计,压力(差压)变送器等系列仪表。









